Zdroj údajov: FRSR,
aktualizované: 04.09.2014

IPM SLOVAKIA, spol. s r.o.

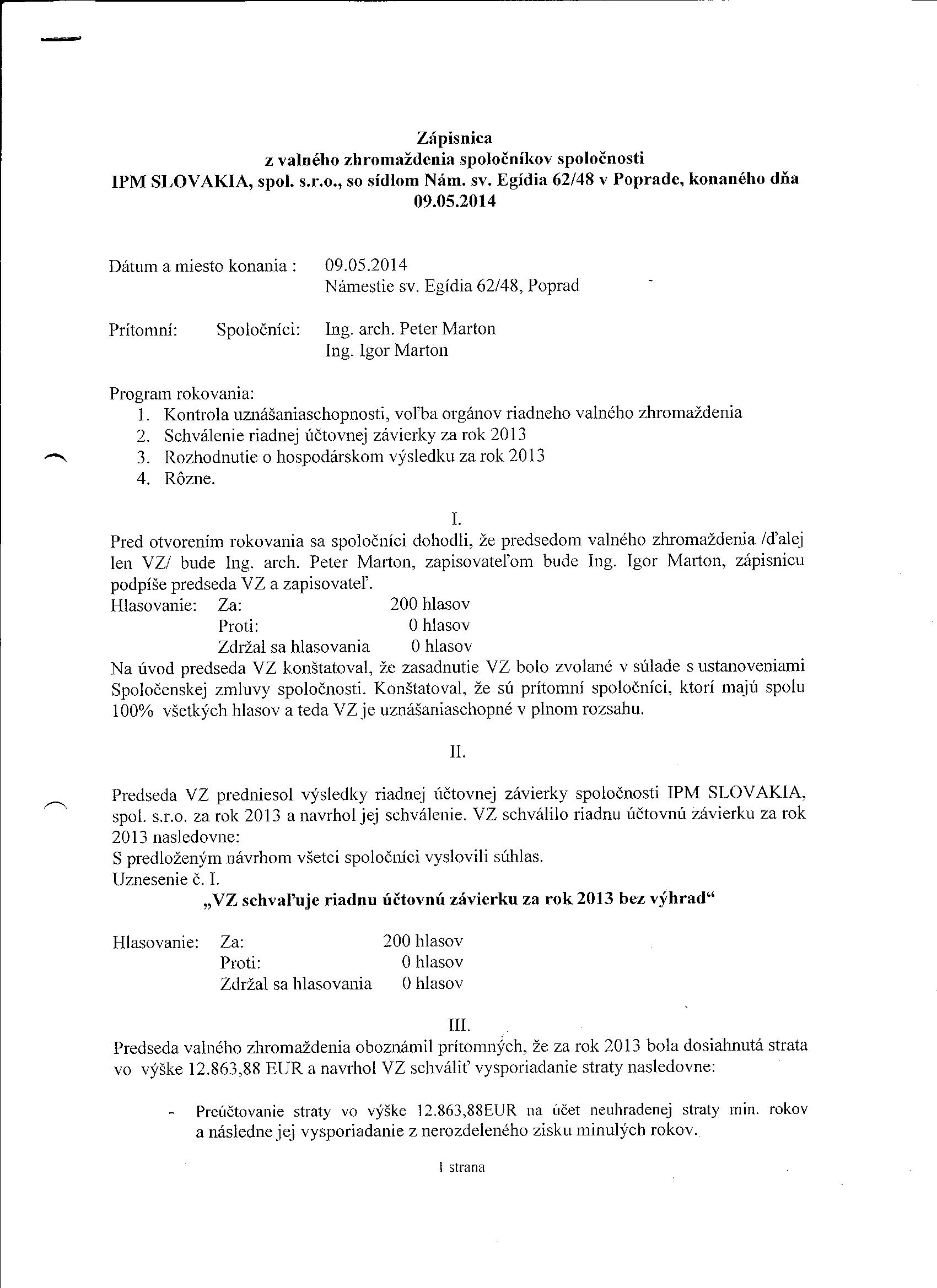
Oznámenie o schválení účtovnej závierky

IPM SLOVAKIA, spol. s r.o.

Oznámenie o schválení účtovnej závierky
Oznámenie o dátume schválenia k 31.12.2013
Dokument: JPG veľkosť 383 KB Stiahnuť Stiahnuť

Dokument: JPG veľkosť 233 KB Stiahnuť Stiahnuť
Oznámenie o dátume schválenia k 31.12.2013
Dokument: JPG veľkosť 383 KB Stiahnuť Stiahnuť

Dokument: JPG veľkosť 233 KB Stiahnuť Stiahnuť
Údaje nie sú dostupné v štruktúrovanej podobe.

Môžeme, prosím, používať cookies?🍪

S cieľom zabezpečenia správneho fungovania webovej stránky a zlepšovania našich služieb používame cookies. Prosíme o potvrdenie súhlasu alebo nastavenie Vašich preferencií.

Nevyhnutné cookies
Vždy aktívne
Zabezpečujú základnú použiteľnosť webovej stránky. Webová stránka nemôže správne fungovať bez týchto cookies. Tieto súbory cookie neukladajú žiadne informácie o vás.
Analytické cookies
Pomáhajú lepšie porozumieť správaniu návštevníkov webovej stránky a tým prispievajú k lepšej funkcionalite tohto webu.