Zdroj údajov: FRSR,
aktualizované: 21.03.2015

LASA - Live And Studio Acoustics s. r. o.

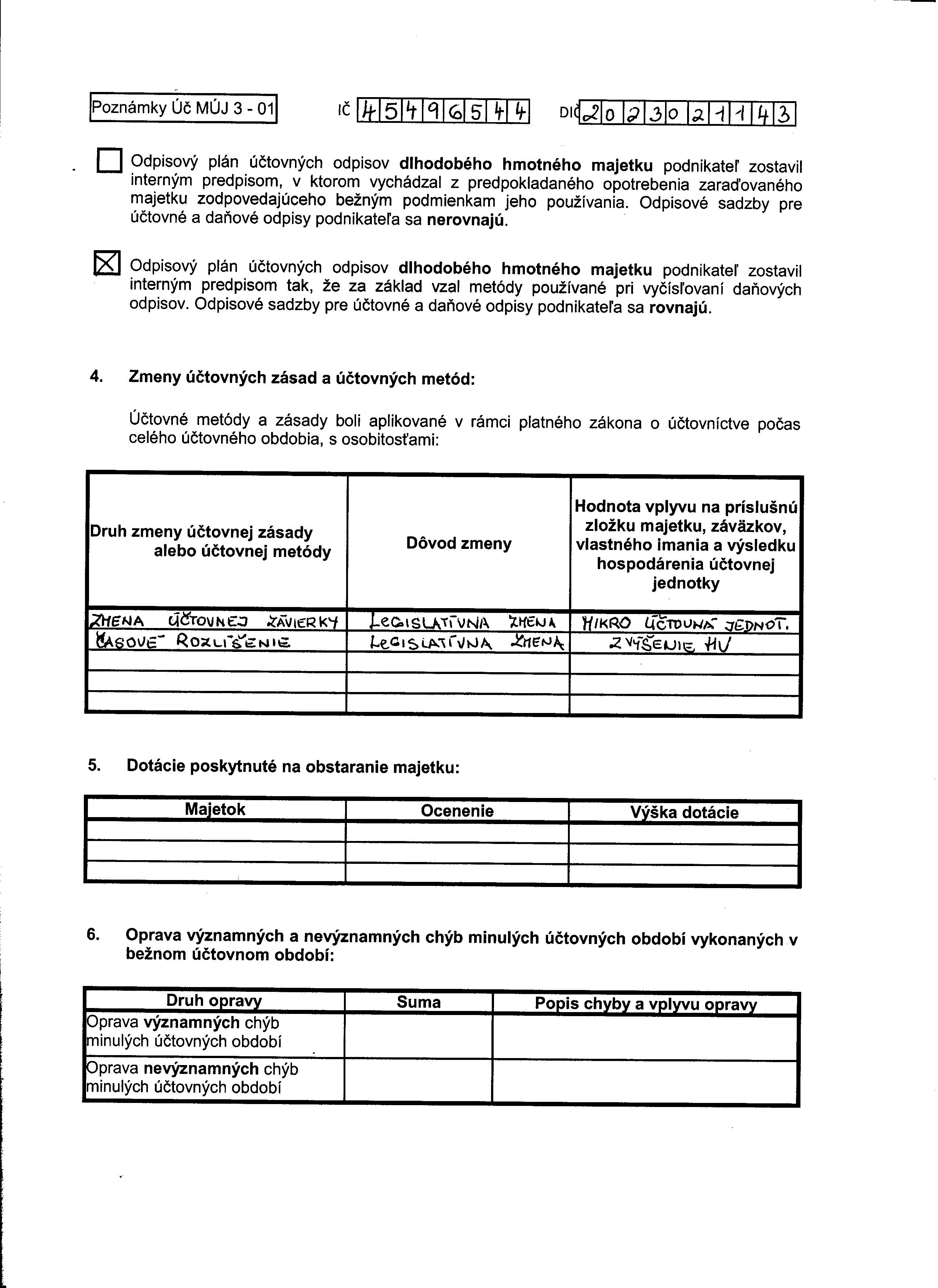
Úč MUJ
Účtovná závierka k 31.12.2014
Dokument: JPG veľkosť 790 KB Stiahnuť Stiahnuť

Dokument: JPG veľkosť 717 KB Stiahnuť Stiahnuť

Dokument: JPG veľkosť 650 KB Stiahnuť Stiahnuť

Dokument: JPG veľkosť 785 KB Stiahnuť Stiahnuť

Dokument: JPG veľkosť 672 KB Stiahnuť Stiahnuť

Dokument: JPG veľkosť 576 KB Stiahnuť Stiahnuť

Dokument: PDF veľkosť 175 KB Stiahnuť Stiahnuť

Tlačová zostava: XLSX <200KB Stiahnuť
Účtovná závierka
Riadna

Daňové identifikačné číslo:
2023021143
IČO:
45496544
SK NACE:
90020 Podpor.scénické čin.

Za obdobie
od:
01/2014
do:
12/2014

Bezprostredne predchádzajúce obdobie
od:
01/2013
do:
12/2013

Obchodné meno (názov) účtovnej jednotky:
LASA - Live And Studio Acoustics s.r .o.

Sídlo účtovnej jednotky
Ulica:
JOZEFA HAGARU
Číslo:
19
PSČ:
83151
Obec:
BRATISLAVA
Označenie obchodného registra a číslo zápisu obchodnej spoločnosti:
Okresný súd BA I Oddiel: Sro Vložka číslo: 64449/B
Telefónne číslo:
-
Faxové číslo:
-
E-mailová adresa:
-

Zostavená dňa:
13.03.2015
Schválená dňa:
-

Môžeme, prosím, používať cookies?🍪

S cieľom zabezpečenia správneho fungovania webovej stránky a zlepšovania našich služieb používame cookies. Prosíme o potvrdenie súhlasu alebo nastavenie Vašich preferencií.

Nevyhnutné cookies
Vždy aktívne
Zabezpečujú základnú použiteľnosť webovej stránky. Webová stránka nemôže správne fungovať bez týchto cookies. Tieto súbory cookie neukladajú žiadne informácie o vás.
Analytické cookies
Pomáhajú lepšie porozumieť správaniu návštevníkov webovej stránky a tým prispievajú k lepšej funkcionalite tohto webu.