Zdroj údajov: FRSR,
aktualizované: 02.04.2023

VEVAH, s. r. o.

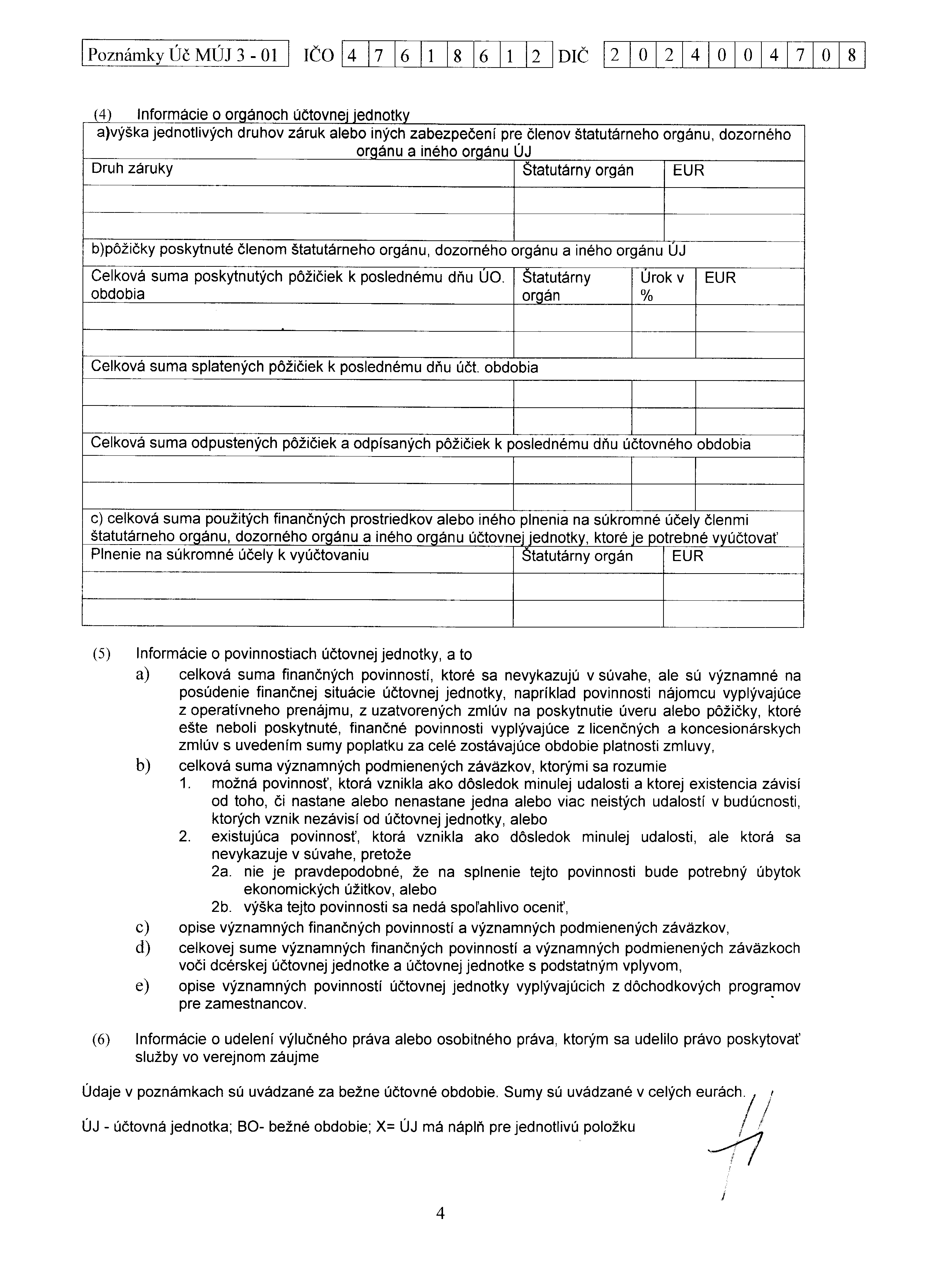
Úč MUJ

VEVAH, s. r. o.

Úč MUJ
Účtovná závierka k 31.12.2022
Dokument: PNG veľkosť 73 KB Stiahnuť Stiahnuť

Dokument: PNG veľkosť 101 KB Stiahnuť Stiahnuť

Dokument: PNG veľkosť 1 421 KB Stiahnuť Stiahnuť

Dokument: PNG veľkosť 1 440 KB Stiahnuť Stiahnuť

Dokument: PDF veľkosť 176 KB Stiahnuť Stiahnuť

Tlačová zostava: XLSX <200KB Stiahnuť
Účtovná závierka
Riadna

Daňové identifikačné číslo:
2024004708
IČO:
47618612
SK NACE:
47190 Ost.maloob.nešpecializ.

Za obdobie
od:
01/2022
do:
12/2022

Bezprostredne predchádzajúce obdobie
od:
01/2021
do:
12/2021

Obchodné meno (názov) účtovnej jednotky:
VEVAH, s.r.o.

Sídlo účtovnej jednotky
Ulica:
Horný rad
Číslo:
536/9
PSČ:
90613
Obec:
Brezová pod Bradlom
Označenie obchodného registra a číslo zápisu obchodnej spoločnosti:
-
Telefónne číslo:
-
Faxové číslo:
-
E-mailová adresa:
-

Zostavená dňa:
30.03.2023
Schválená dňa:
30.03.2023

Môžeme, prosím, používať cookies?🍪

S cieľom zabezpečenia správneho fungovania webovej stránky a zlepšovania našich služieb používame cookies. Prosíme o potvrdenie súhlasu alebo nastavenie Vašich preferencií.

Nevyhnutné cookies
Vždy aktívne
Zabezpečujú základnú použiteľnosť webovej stránky. Webová stránka nemôže správne fungovať bez týchto cookies. Tieto súbory cookie neukladajú žiadne informácie o vás.
Analytické cookies
Pomáhajú lepšie porozumieť správaniu návštevníkov webovej stránky a tým prispievajú k lepšej funkcionalite tohto webu.